İETT’DE Taktik Değişikliği
İETT’DE TAKTİK DEĞİŞİKLİĞİ TWİN TURİZM’in ihale yasağı 23 Mart ve 27 Mart 2026 tarihindeki İETT ihaleleri için mi kaldırıldı?
İETT’DE TAKTİK DEĞİŞİKLİĞİ TWİN TURİZM’in ihale yasağı 23 Mart ve 27 Mart 2026 tarihindeki İETT ihaleleri için mi kaldırıldı?

İstanbul Cumhuriyet Başsavcılığınca, "İmamoğlu çıkar amaçlı suç örgütüne yönelik soruşturma kapsamında hazırlanan iddianamede, tutuklanarak İBB Başkanlığı görevinden uzaklaştırılan Ekrem İmamoğlu elebaşılığında kurulan suç örgütünün İETT ihalelerinde yüklenici firmaları önceden belirlediği ve firmalardan pay istediği iddiası anlatılmıştı.
İddianamede REMZİ BAKA’nın etkin pişmanlık ifadesinde, “2021 yılı Haziran ayında İbrahim BÜLBÜLLÜ beni aradı Florya' daki başkanlık konutuna çağırdı. Üst yönetimin kararı olduğunu, büyük çaplı iş yapan firmaları sisteme katkıda bulunup destek olmaları gerektiğini, ihalelerden %10 pay verilmesini ifade etti. 2021-2023 dönemi ile 2023-2024 dönemlerinde İETT'den almış olduğum hizmet konulu ihaleler
için İbrahim Bülbüllü'ye 340 milyon lira ödeme yapmak zorunda kaldım. İETT’nin 2022/1244895 kayıt numaralı ihalesinde idare 50 adet metrobüs alımı yapacaktı. Almak istediği kapasitedeki araçları üreten firma yoktu. Sadece bizim firmamız üretiyordu. İbrahim Bülbüllü 2022 sonlarında Kubist' te bulunan ofiste yaptığımız görüşmede "bu ihalede rakibiniz yok, işi alırsınız, bizim de sizden talebimiz olacak" deyip benden para talebinde bulundu. Yaklaşık 40 milyon lira parayı parça parça kendisine ofisinde ödedim.” beyanlarında bulunmuştu

Ayrıca İBB iddianamesinde, Vahit KİLER’in kardeşi Nahit KİLER’in adı geçiyor.
İstanbul Büyükşehir Belediye Başkanı Ekrem İmamoğlu'nun da tutuklu bulunduğu İstanbul Büyükşehir Belediyesi'ne yönelik yürütülen 'yolsuzluk' soruşturmasına ilişkin 11 Kasım'da tamamlanan iddianamede İmamoğlu hakkında 142 eylemden dolayı, 828 ila 2 bin 352 yıla kadar hapis cezası istenmişti. Şüphelilere, "suç örgütü kurma", "suç örgütü yönetme", "rüşvet alma", "rüşvet verme" suçlamaları yöneltilen iddianamede adı geçen isimlerden birinin ise uzun süre AKP milletvekilliği yapan Vahit Kiler'in kardeşi Nahit Kiler olduğu ortaya çıkmıştı. Dosyada adı şüpheli listesinde yer alan Kiler Holding Yönetim Kurulu Başkanı Nahit Kiler, 2017'de dönemin Beylikdüzü Belediye Başkan Yardımcısı şüpheli Mehmet Murat Çalık'ın kendisini belediyeye çağırarak bölgede birçok inşaat yaptıklarını söyleyerek, belediye adına da kendilerinden kreş yapmasını istediğini anlatmıştı.
İBB yolsuzlukları ile ilgili yargılama daha yeni başlamışken İETT’de yeni bir prensin doğuşuna şahit oluyoruz. Vahit KİLER’in şirketler grubuna bağlı TURPA OTOMOTİV SANAYİ VE TİCARET ANONİM ŞİRKETİ İETT’den aldığı son ihalelerin tamamını pazarlık usulü ile tek katılımcı olarak aldı.

Ayrıca KİLER HOLDİNG yönetimindeki diğer şirketlerde farklı CHP belediyelerinden ihaleler almaya devam ediyor.
TURUVA SEYAHAT SAĞLIK TURİZM TAŞIMACILIK TEMİZLİK HİZMETLERİ
SANAYİ VE TİCARET LİMİTED ŞİRKETİ

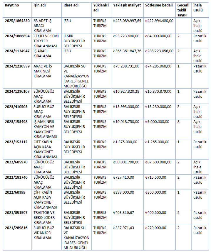
TUREKS TURİZM TAŞIMACILIK ANONİM ŞİRKETİ


Ekrem İmamoğlu ile Beylikdüzü Belediyesi’nde yol yürümeye başlayan Vahit Kiler’in ortağı Menderes Cemaloğlu ise eşzamanlı olarak diğer CHP’li belediyelerden ihale alarak yoluna devam etti.
Vahit Kiler’in ortağı Menderes Cemaloğlu Beylikdüzü Belediyesi’nde, Balıkesir Büyükşehir Belediyesi’nde ve İzmir Büyükşehir Belediyesi’nde aldığı ihaleler sayesinde Ekrem İmamoğlu’na yakın isimleri arasında yer aldı.
Menderes Cemaloğlu’nun Ekrem İmamoğlu ve Fatih Keleş ile geliştirdiği ilişkiler sayesinde Vahit Kiler ve Menderes Cemaloğlu’nun şirketi TWİN TURİZM kurularak İETT’den ihale almaya başladı.
Bu büyüme ve ilerleme hem Vahit Kiler’in hem de Menderes Cemaloğlu’nun rüşvet ile ilgili olarak İBB iddianamesinde yer almalarına sebep oldu. İddianamede, İETT ile ilgili ilk toplantının Menderes Cemaloğlu’nun ofisinde yapıldığı belirtiliyor.
İBB’den ihale alan diğer firmaları TWİN TURİZM ise İETT’de ön plana çıkmaya başladı.

Hakkında ihalelerden yasaklama kara verilen TWİN TURİZM ve yetkililerinin yasaklılıkları sürpriz bir şekilde kaldırıldı. Bu sürpriz akıllara İETT’de taktik değişikliği mi var sorusunu getirdi.

Çankaya Belediyesi’nde ihale alan Kiler Grubu şirketlerinin alt yüklenicisinin Ulaşım A.Ş.’nin sahibi olan Remzi BAKA’ya ait diğer bir şirket olan RST OTOMOTİV olması da REMZİ BAKA - MENDERES CEMALOĞLU - VAHİT KİLER arasındaki ilişkileri ortaya koymaktadır.
İETT’de TURPA OTO. A.Ş., ULAŞIM A.Ş., TWİN TURİZM arasındaki malzeme alışverişleri, personel geçişleri ve ihalelerin aralarında dağılımı incelendiğinde aynı kişiler arasında aynı ihalelerin dönüşümlü olarak alındığı görülecektir.
Cumhuriyet Halk Partisi ve Ekrem İmamoğlu’nun yeni prensi Vahit KİLER’in yönetimindeki şirketlerin CHP yönetimindeki belediyelerden aldıkları ihalelerin toplam sözleşme bedelleri 1 MİLYAR DOLAR’ı aştı.

TİCARETEN CHP’li SİYASETEN AKP’li Vahit Kiler ve Ortağı Menderes Cemaloğlu, İBB İddianamesinde rüşvet verdiklerini belirtmelerine rağmen bu kurumlarda ihale almaya devam etmesi, hatta ihale öncesi TWİN TURİZM’in ihale yasağının kaldırılması dikkat çekiyor.
BU ŞİRKETLERİN İŞBİRLİĞİ YAPTIKLARI TÜM İHALELER İLE İLGİLİ SUÇ DUYURUSUNDA BULUNULMASI GEREKMEKTEDİR.
Türkçe karakter kullanılmayan ve büyük harflerle yazılmış yorumlar onaylanmamaktadır.